1

Некорректная работа уведомлений

Topic: Некорректная работа уведомлений

Добрый день!

Обратил внимание на некорректную работу уведомлений в wialon local при использовании настройки "Генерировать уведомление при изменении состояния".

Поясню на примере. Мы настроили уведомление на превышение скорости 100 км/ч. Минимальное время  тревожного сигнала выставили 20 сек. Что бы много уведомлений не сыпалось, включили "Генерировать уведомление при изменении состояния" и выставили мин. продолжительность предыдущего состояния 1 минута.

Согласно инструкции по wialon:
Минимальная продолжительность предыдущего состояния
Этот параметр предназначен для того, чтобы исключить излишние срабатывания. Например, объект может на небольшой промежуток времени попасть в нормальное состояние, после чего вернуться в тревожное. Данный параметр необходим для того, чтобы уведомление в таком случае сработало только один раз.

Итак, мы ожидаем, что как только объект будет двигаться более 20 сек со скоростью более 100 км/ч нам придет уведомление. И повторные уведомления будут приходить только если между превышениями будет больше 1 мин.

Как это работает на самом деле. Объект двигается 90, 105, 95, 103, 130, 170, 200, 200 ... Уведомления не приходят совсем.
Оказывается, если объект из тревожного состояния вернется в нормальное до того как сработает уведомление (от 105 к 95), а затем вернется в тревожное раньше чем выставленная минимальная продолжительность предыдущего состояния (от 95 к 103), уведомления не придут совсем. Совсем! Т.е. машина мчится 200 км/ч целый час уведомления не будет. А такой скачок (в нашем пример 105-95-103 и далее) бывает довольно часто.

Этот не корректный алгоритм работы распространяется не только на превышение скорости, но и на все уведомления с параметром "Генерировать уведомление при изменении состояния". У нас есть сложные уведомления связанные с контролем работы определенных параметров оборудования, и там такие вещи являются критичными. Был неприятно удивлен.

Пожалуйста, кто использует уведомления и пользуется параметром "Генерировать уведомление при изменении состояния" будьте бдительны, система время от времени дает сбой!

2

Некорректная работа уведомлений

Re: Некорректная работа уведомлений

Изложил свое мнение как должны работать уведомления.

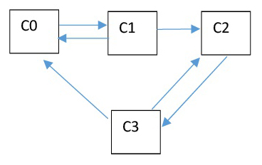
Введем 4 состояния объекта:
С0 – начальное состояние, объект в не тревожном состоянии давно (больше времени Т2).
С1 – объект перешел в тревожное состояние, но уведомление еще не сработало
С2 – объект в тревожном состоянии дольше времени Т1 и сработало уведомление
С3 – объект вышел из тревожного состояния со сработавшим уведомлением (С2) на короткий период (меньше Т2).

Граф переходов для состояний будет выглядеть следующим образом:
Некорректная работа уведомлений
Т.е. как только пришел тревожный параметр, объект переходит из С0 в С1.

Если тревожный параметр перестает приходить и прошло меньше времени Т1, объект из состояния С1 возвращается в состояние С0. Если тревожный параметр приходит дольше времени Т1, объект переходит из состояния С1 в состояние С2 и посылается уведомление.

Если во время нахождения в состоянии С2, перестает приходить тревожный параметр объект переходит в состояние С3.

Если в состоянии С3 снова начинает приходить тревожный параметр и прошло времени меньше Т2, объект возвращается в состояние С2. Если объект в состоянии С3 находится по времени дольше Т2, он переходит в состояние С0.

Вот как-то так. Т.е. контролировать краткосрочный выход из тревожного состояния необходимо только если уже было создано уведомление.

  • Некорректная работа уведомлений
3

Некорректная работа уведомлений

(edited by SanderAMC 23/10/2019 13:30:36)

Re: Некорректная работа уведомлений

Логика работы уведомления при изменении параметра и состояния ровно такая, как описано вами в "оказывается" и ровно такая, как в документации. Иной нет, но вы держитесь.
Доработка системы уведомлений в хостинге, а тем более в локал, пока не планируется.

4

Некорректная работа уведомлений

(edited by popov_a_v 23/10/2019 16:06:38)

Re: Некорректная работа уведомлений

SanderAMC wrote:

Логика работы уведомления при изменении параметра и состояния ровно такая, как описано вами в "оказывается" и ровно такая, как в документации. Иной нет, но вы держитесь.
Доработка системы уведомлений в хостинге, а тем более в локал, пока не планируется.

Мы держимся, спасибо. Приходится приспосабливаться.

На счет остального не согласен. В документации нет ни слова, что при наступлении тревожного состояния уведомление может совсем не сработать. Почитайте внимательно документацию.
"Минимальная продолжительность предыдущего состояния. Этот параметр предназначен для того, чтобы исключить излишние срабатывания. Например, объект может на небольшой промежуток времени попасть в нормальное состояние, после чего вернуться в тревожное. Данный параметр необходим для того, чтобы уведомление в таком случае сработало только один раз. "

В описанном мной случае, уведомление не сработает совсем. "Ни разу" отличается от "один раз". Очень странно, что вы спорите. На мой взгляд достаточно очевидно, что присутствует ошибка в логике уведомления или ошибка в документации, где некорректно описана логика работы уведомлений.

5

Некорректная работа уведомлений

Re: Некорректная работа уведомлений

Вы еще слабо знакомы со спецификой работы Виалон, все просто. smile

Не надо искать подтексты или иные смыслы там, где их нет. Воспринимать следует буквально: чтобы была сработка уведомления, должно выполниться условие сработки; если была сработка по смене состояния, то следующая сработка будет ТОЛЬКО в том случае, если полностью выполнится условие иного состояния, после чего опять условие сработки.

В вашем примере это условие не выполняется, очевидно что и уведомление не сработает. Ошибки в логике нет, уведомление работает ровно так, как задумано разработчиком.

Другой вопрос - логично-ли это во всех случаях. Очевидно, нет. Должно быть больше вариативности в системе уведомлений и их настройке.
Поэтому вам сюда: https://forum.gurtam.com/viewtopic.php?id=14316, ставьте плюсик, глядишь года через 2-3 что-то увидим новое.

6

Некорректная работа уведомлений

Re: Некорректная работа уведомлений

SanderAMC wrote:

Логика работы уведомления при изменении параметра и состояния ровно такая, как описано вами в "оказывается" и ровно такая, как в документации. Иной нет, но вы держитесь.
Доработка системы уведомлений в хостинге, а тем более в локал, пока не планируется.

Такой ответ не мотивирует на ведение диалога. Вам нужна обратная связь или нет? В продукте нашли ошибку, указали на нее и вместо "Спасибо большое, изучим, учтём, исправим" от вас получаем "все нормально", издевательское "но вы держитесь" и "доработка не планируется".

Странное отношение.

7

Некорректная работа уведомлений

Re: Некорректная работа уведомлений

Попробую по порядку.
Описание Минимальной продолжительности тревожного состояния из документации hosting, local1904, local1804.

Этот параметр предназначен для того, чтобы исключить случайное срабатывание уведомления (например, из-за погрешностей трекера объект якобы выехал из указанной геозоны, а через 10 секунд вернулся назад). Укажите интервал в секундах, минутах, часах (выберите тип интервала из выпадающего списка). Максимально допустимое значение — 24 часа (1440 минут, 86400 секунд). :!: Минимальная продолжительность применяется непосредственно к основному условию срабатывания уведомления (тип уведомления) и не распространяется на дополнительные условия (скорость, значение датчика и т.д.).

Из самого названия выходит, что параметр отвечает за "тревожное состояние", т.е. в вашем случае тревожным сосоянием считается тот период, когда уведомление настроено на 100км/ч и приходят сообщения со скростью 103, 130, 170, 200, 200. Следовательно, если машина мчится 200 км/ч целый час и минимальная продолжительность тревожного состояния меньше часа, то уведомление сработает.
Сообщения со скоростью 90, 105, 95, 103 не являются цепочкой тревожного состояния. В документации как раз описан пример.

SanderAMC пишет о том, что в случае отсутствия значения скорости в сообщении (напр., 103, 130, 170, --, 200) цепочка также прерывается. Технические детали и трудности этой ситуации можно почитать по ссылке. Однако, по исходному описанию не похоже, что эти две истории связаны.

По итогу не ясно, на какую именно ошибку вы указали. Работает всё, как описано во втором комментарии, кроме состояния С3 и параметра Т2, которого не существует. Похоже, что оно нужно для отслеживания "пограничного/полутревожного состояния", когда авто то нарушает, то нет. Запросов о необходимости контроля такого "полутревожного" состояния ранее не было и не известны практические случаи использования.

Tatsiana Shmihelskaya
Business Analyst, Gurtam
8

Некорректная работа уведомлений

Re: Некорректная работа уведомлений

tata wrote:

... Работает всё, как описано во втором комментарии, кроме состояния С3 и параметра Т2, которого не существует. ...

Параметр Т2 в моем примере очень даже существует в Виалоне, это "Минимальная продолжительность предыдущего состояния". В настойках уведомления есть такой параметр:
Некорректная работа уведомлений

Попробую еще раз. Настройки уведомления на картинке. Контролируемая скорость 100 км/ч. Приходят сообщения со скоростью 90, 105, 95, 103, 130, 170, 200, 200 и далее долго 200 км/ч. Между сообщениями 2 сек. Уведомление не сработает.
Из-за скачка 90,105,95 в вашем алгоритме что-то отключается и когда наступает тревожное состояние уведомление уже не срабатывает.

Еще раз.
Если приходит 90, 95, 103, 130, 170, 200, 200 ... уведомление сработает.
Если приходит 90, 105, 95, 103, 130, 170, 200, 200 ... уведомление  не сработает вообще.

Вы считаете это нормально? Вы считаете это соответствует документации?

P.S. Обратите внимание, где красная линия у вас поля на разных уровнях стоят. Не красиво.

  • Некорректная работа уведомлений
9

Некорректная работа уведомлений

Re: Некорректная работа уведомлений

popov_a_v wrote:

Такой ответ не мотивирует на ведение диалога. Вам нужна обратная связь или нет? В продукте нашли ошибку, указали на нее и вместо "Спасибо большое, изучим, учтём, исправим" от вас получаем "все нормально", издевательское "но вы держитесь" и "доработка не планируется".

Я не Гуртам, мне от Вас обратная связь не нужна. Не нравится мой комментарий - нечего на публичном форуме вопросы писать. Ответы по делу вас не устроили.

Всего хорошего, успехов.

10

Некорректная работа уведомлений

Re: Некорректная работа уведомлений

SanderAMC wrote:

Я не Гуртам, мне от Вас обратная связь не нужна.

Если не Гуртам зачем в категоричной форме писать, что доработка модуля уведомлений не планируется? Пусть сам Гуртам и пишет планирует доработку или нет. Вы партнер Гуртама и участвуете в обсуждении потенциальной проблемы. Это нормально.

SanderAMC wrote:

Не нравится мой комментарий - нечего на публичном форуме вопросы писать. Ответы по делу вас не устроили.

По делу ответа не было. Это и не устроило. Общая фраза "Логика работы уведомления при изменении параметра и состояния ровно такая, как описано вами в "оказывается" и ровно такая, как в документации. Иной нет, но вы держитесь." это не ответ по делу. Вот я в 1-ом и 2-ом сообщении написал по делу, подробно и с примерами.

На публичном форуме я написал, потому что служба поддержки Гуртам на этом настояла.

SanderAMC wrote:

Всего хорошего, успехов.

А вот за это спасибо! Вам тоже удачи!

Тему со сменой логики работы модуля уведомлений плюсанул.

11

Некорректная работа уведомлений

Re: Некорректная работа уведомлений

Спасибо за пояснения. Теперь всё на местах, понятно.
Действительно, работает, как описано у вас.
Документация по сути всё верно описывает. Одна и та же настройка, получается, приносит и пользу, и может ввести в заблуждение в других случаях.
Это нормальная история, если контролируется нахождение в геозоне (напр, маршрут в виде геозоны-линии) и о входе в нее уже один раз оповещение пришло, сработки от случайных выбросов координат не происходят.
В описанном вами случае, согласна, такая логика приводит к потере важного оповещения.
Пока не могу сказать, что мы можем и можем ли здесь изменить. Вернусь позже с какой-то информацией.

Подскажите еще, можно ли эту настройку в вашем случае не использовать?

Tatsiana Shmihelskaya
Business Analyst, Gurtam